
RS Aggarwal Solutions for Class 10 Maths Chapter 7 Exercise 7.3: The Physics Wallah academic team has produced a comprehensive solution for Chapter 7's Trigonometric Identities in the RS Aggarwal class 10 textbook. Use the NCERT solutions to assist you tackle questions from the NCERT to get good grades in class 10.
Maths class 10 NCERT solutions were uploaded by a Physics Wallah specialist. The RS Aggarwal class 10 solution for Chapter 7 Trigonometric Identities Exercise 7C is uploaded for reference only; do not copy the solutions. Before going through the solution of Chapter 7 Trigonometric Identities Exercise-7C, one must have a clear understanding of Chapter 7 Trigonometric Identities. Read the theory of Chapter 7 Trigonometric Identities and then try to solve all numerical of exercise 7C.RS Aggarwal Solutions for Class 10 Maths Chapter 7 Exercise 7.3 PDF
Question 1
Question 2
Question 3
Question 4
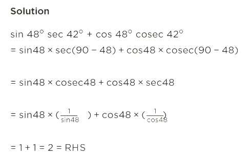
Question 5
Question 6
Question 7
Question 8
Question 9
Question 10
Question 11
Question 12
Question 13
Question 14
Question 15
Concept Clarity: The solutions provide step-by-step explanations that help clarify complex trigonometric identities. Understanding each step ensures that students grasp the underlying principles.
Simplified Approach: Each solution breaks down the process of proving or using trigonometric identities in a simplified manner, making it easier for students to follow.
2. Practice and ApplicationVariety of Problems: Exercise 7.3 typically contains a range of problems, from basic to more challenging ones. Practicing these problems helps reinforce the concepts and improves problem-solving skills.
Application of Identities: Solutions often demonstrate various ways to apply trigonometric identities, helping students understand their practical uses in different types of problems.
3. Error AnalysisCommon Mistakes: By following the solutions, students can identify and learn from common mistakes made in solving trigonometric problems. This helps in avoiding these errors in future exercises.
Alternative Methods: Solutions may include alternative methods to solve problems, giving students a broader perspective on how to approach different types of questions.
4. Exam PreparationConcept Reinforcement: Regular practice with these solutions helps in reinforcing the concepts, which is crucial for performing well in exams.
Time Management: By practicing with solutions, students can develop strategies to solve problems more efficiently within the time constraints of an exam.
5. Self-AssessmentImmediate Feedback: Students can compare their answers with the provided solutions to self-assess their understanding and identify areas needing improvement.
Confidence Building: Solving exercises correctly with the help of these solutions boosts confidence in handling similar problems independently.
6. Foundation for Advanced TopicsBuilding Blocks: Mastering trigonometric identities in Class 10 sets a strong foundation for more advanced topics in higher classes, such as calculus and complex numbers.
Preparation for Higher Studies: A solid understanding of trigonometric identities is essential for various competitive exams and further studies in mathematics.
7. AccessibilityUser-Friendly Format: RS Aggarwal's solutions are often well-organized and easy to navigate, which helps students quickly find the help they need.
Visual Learning: Many solutions include diagrams and graphs that aid in visualizing the problems and understanding the concepts better.
8. Enhanced Learning ToolsWorked-Out Examples: The book provides worked-out examples that illustrate how to approach and solve problems, which enhances the learning experience.
Summary of Key Points: Important trigonometric identities and formulas are summarized, making it easier for students to review and remember them.
