Physics Wallah

Time Response of the Second Order System

authorImageManoj Singh20 Oct, 2023
Share

Share

Time Response of the Second Order System

Definition:

The output or response of a system which is varying w.r.t. time is called time response. The time response c(t) of a control system is usually divided into 2 parts.

  1. Transient response
  2. Steady state response
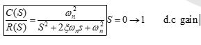
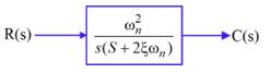
  • Second order O.L.S :
  • Second order C.L.S :
Important Points :
  • Damping ratio , (ξ),dimensionless, represent decay of oscillation in output response .
  • Undamped natural frequency (ω n ) rad/sec : frequency of oscillation of output response, in absence of damping force, .
  • Damped natural frequency(ω d ) rad/sec frequency of output response oscillation, when Damping force is present,ω d >0.

ω d = ω n √1-ξ 2

Join 15 Million students on the app today!
Point IconLive & recorded classes available at ease
Point IconDashboard for progress tracking
Point IconMillions of practice questions at your fingertips
Download ButtonDownload Button
Banner Image
Banner Image
Free Learning Resources
Know about Physics Wallah
Physics Wallah is an Indian edtech platform that provides accessible & comprehensive learning experiences to students from Class 6th to postgraduate level. We also provide extensive NCERT solutions, sample paper, NEET, JEE Mains, BITSAT previous year papers & more such resources to students. Physics Wallah also caters to over 3.5 million registered students and over 78 lakh+ Youtube subscribers with 4.8 rating on its app.
We Stand Out because
We provide students with intensive courses with India’s qualified & experienced faculties & mentors. PW strives to make the learning experience comprehensive and accessible for students of all sections of society. We believe in empowering every single student who couldn't dream of a good career in engineering and medical field earlier.
Our Key Focus Areas
Physics Wallah's main focus is to make the learning experience as economical as possible for all students. With our affordable courses like Lakshya, Udaan and Arjuna and many others, we have been able to provide a platform for lakhs of aspirants. From providing Chemistry, Maths, Physics formula to giving e-books of eminent authors like RD Sharma, RS Aggarwal and Lakhmir Singh, PW focuses on every single student's need for preparation.
What Makes Us Different
Physics Wallah strives to develop a comprehensive pedagogical structure for students, where they get a state-of-the-art learning experience with study material and resources. Apart from catering students preparing for JEE Mains and NEET, PW also provides study material for each state board like Uttar Pradesh, Bihar, and others

Copyright © 2026 Physicswallah Limited All rights reserved.